Accueil » Collections

Les collections philatéliques

Découvrez les collections philatéliques de nos membres.

Ces collections de grande qualité ont été présentées dans des compétitions nationales et internationales.

97 collections trouvées

A la découverte des régions polaires

A l’époque de Louis XIV

Affranchissements mixtes avec la machine A

Au carrefour du monde depuis 2600 ans : Marseille

Carnaval

Carnaval

Colis postaux en service intérieur

Die Weimarer Republik

Documents et marques annexes sur lettres de poste aérienne

Droit de transport de marchandises pour la France en régime extérieur

Du vent dans les voiles

Emission Présidence (1852 – 1854)

Epreuves et essais de la grosse tête d´Hermès de Grèce

Etude monographique des 30c Semeuse camée métropolitains et leur histoire au fil des tarifs

Histoire postale de Senlis des origines à 1904

Histoire postale des chantiers de la jeunesse

Inflation et affranchissements en Ukraine (1992 – 1996)

La cathédrale, chef d’oeuvre d’une cité

La Dame en bleu

La Dame en lilas rose

La fabrication et l’utilisation postale des tirages de Paris de la grosse tête d’Hermès de Grèce’

La ligne Noguès : une voie aérienne eurasiatique

La Loire au fil de l’eau

La luminescence au fil du temps

La main, un outil devenu symbole

La Marianne de Beaujard : témoin de son temps

La Marianne de Béquet à 0.50 F : conception, fabrication et production

La Réunion : Une île à découvrir

La Semeuse de Roty sur les entiers postaux de France

La soie naturelle

La taxation des publications en vertu de la loi du 9 vendémiaire an VI (30 septembre 1797)

La vallée des roses

Le 10 F ’Conférence de Paris’ dans les régimes international et franco-colonial

Le 15 F rouge Marianne de Gandon

Le chocolat

Le cirque dans le monde

Le Japon

Le légendaire dragon

Le métropolitain de Paris

Le règne de Louis XIV

Le type Pasteur, France et Colonies

L’épopée napoléonienne dans les régions du monde

L’érinnophilie à la croisée des dents

- Henri ARONIS -

L’érinnophilie à la croisée des dents

Les ballons dirigeables

Les châteaux de France

Les chéloniens

Les conséquences postales de la réforme monétaire de 1948 en Allemagne

Les courriers des camps d’internement en France (1939 – 1945)

Les dents dans leur environnement

Les divers affranchissements et taxes de services sur entiers postaux français (1881 – 1988)

Les entiers de la poste pneumatique de Paris – Période 1879-1901

Les Français à Mémel (1920 – 1923)

Les machines Sécap H et HE – Essais, adoption et mise en service

Les marques de censure allemandes pendant la IIème Guerre Mondiale

Les oblitérations typographiques des journaux

Les Pays de la Loire : A la découverte de ma région

Les perforés à travers la philatélie française

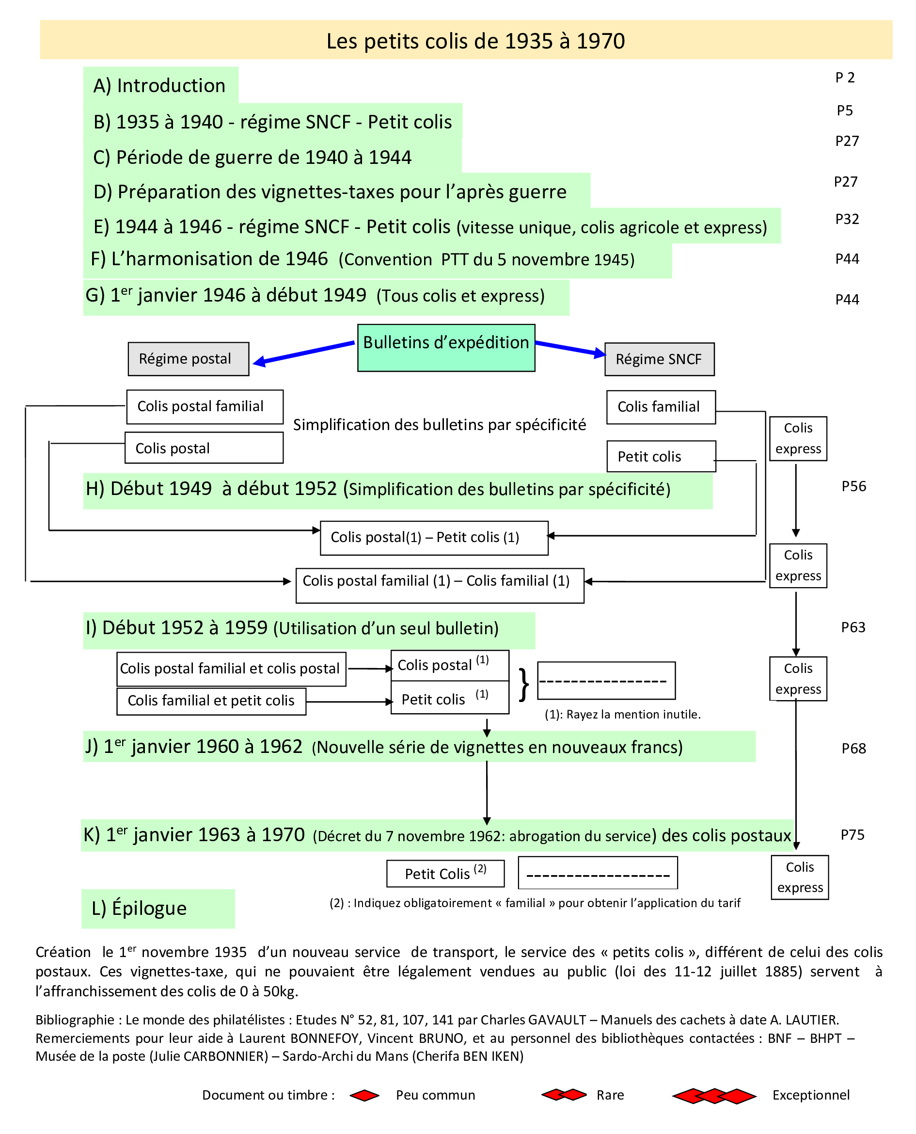
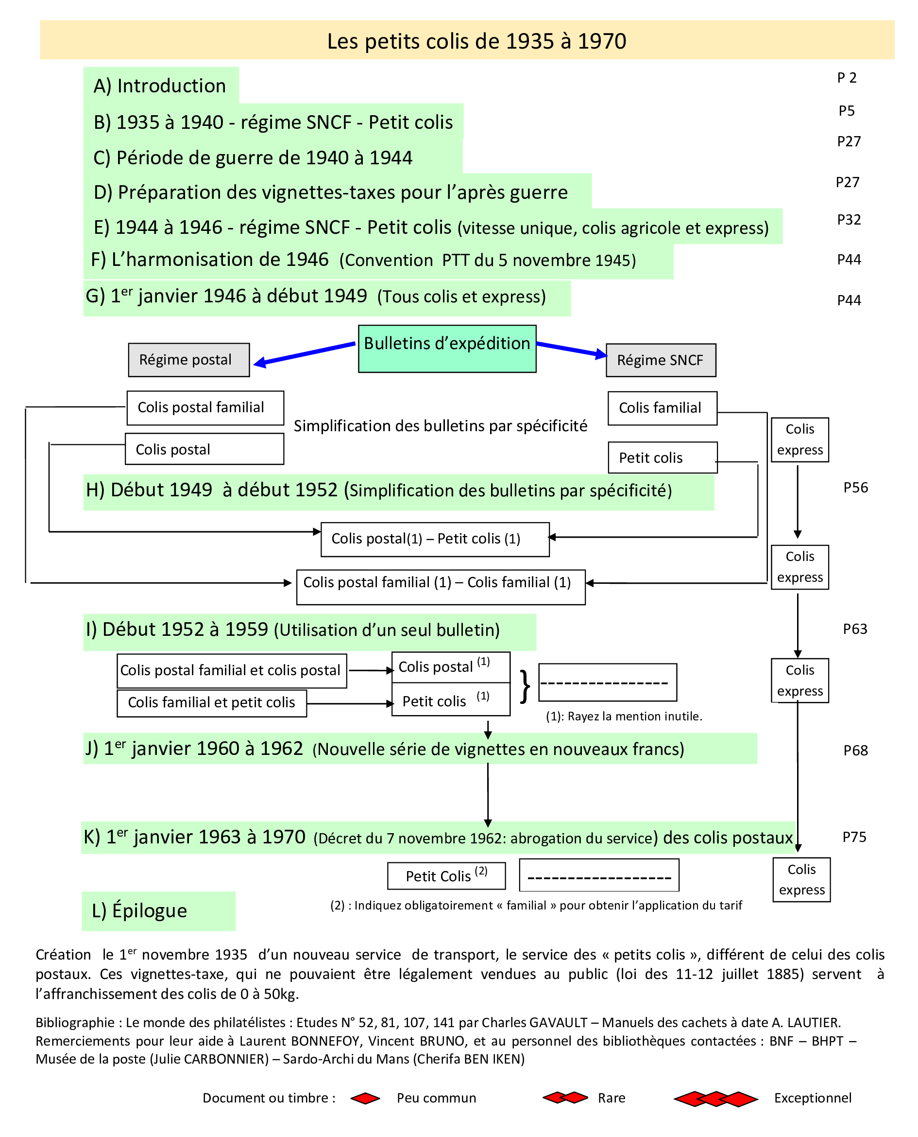
Les petits colis de 1935 à 1970

Les régions désertiques

Les Russes au Pôle Nord

Les tarifs et les différentes utilisations postales du 20 F. Pont du Gard

Les timbres nationaux, mobiles pour affiches

Les timbres-poste au type ’Ecusson’ oblitérés par avance

Les timbres sans valeur facialeapparente – Les débuts (1838-1887)

Les timbres-taxe insectes et coléoptères

Les vignettes d’assurance des Colis postaux

Les vignettes de la compagnie européenne d’assurance des marchandises et des bagages

Les vignettes des oeuvres mutualistes des PTT

Les Vosges

Les Vosges culturelles

L’île de la Réunion

L’Institut de France

Louis XIV

L’usage postal de la Cérès de Mazelin

L’utilisation du type Pasteur de France

Mon voyage en franc-maçonnerie

Occupation Prussienne dans la Marne 1870-1872 : Conséquences sur les relations postales

Papiers timbrés des documents de transport de marchandises par voie de terre en régime intérieur

Pèse-lettres ou balances postales

Pey Galo

Promenade au bord du canal de la Marne

Rencontre avec le cheval

Sélection de marques postales de l’Allier

Son altesse sérénissime 100F Marianne de Gandon

Sur les rails du haut Doubs – Le tramway Pontarlier-Mouthe-Foncine

Taxe ’P.C.V Douane’ Algérie (1944 / 1945)

Télégrammes ou pneumatiques

Terre Neuve : poste aérienne

Timbres de Grande Bretagne en taille douce 1840-1879. Etude chronologique du planchage de leurs émissions

Tout ce que l’on devrait savoir sur la dent

Traces de vie – Le courrier des internés et déportés de la 2ème guerre mondiale

Un siècle d’histoire postale du chef-lieu de canton du Bazois

Une palette de mouvements au XXème siècle

Une région haute en couleurs

Utilisation des timbres-taxe, émissions de 1982-1983

Zealandia, one penny universal (01/01/1901 – 07/11/1909)

Vous voulez voir toutes les collections ?

Rejoignez la FFAP et accédez à votre espace membre personnalisé !

Je me connecte